Saturday, December 24, 2011
Thursday, December 22, 2011
Wednesday, December 21, 2011
Multiplying Integers
The rules for multiplying are:
1)Positive x Positive=Positive
2) Negative x Negative=Positive
3)Positive x Negative=Negative
4)Negative x Positive=Negative
(+5) x (+5)=+25
1)Positive x Positive=Positive
2) Negative x Negative=Positive
3)Positive x Negative=Negative
4)Negative x Positive=Negative
(+5) x (+5)=+25
Cinquain Poem
A Cinquain Poem can be about anything!
If you were to write a cinquain poem you would have to write them like this:
line 1- 1 noun of 2 syllables
line 2- 4-5 syllables (words that describe the subject)
line3- 6 syllables (tells an action of the subject)
line 4- 8 syllables (expresses a feeling or information about the subject)
line 5- another 2 syllable word describing the subject.
ex- Christmas
Best time of the year
With family and friends
Surrounded with family and good cheer
Lovely
If you were to write a cinquain poem you would have to write them like this:
line 1- 1 noun of 2 syllables
line 2- 4-5 syllables (words that describe the subject)
line3- 6 syllables (tells an action of the subject)
line 4- 8 syllables (expresses a feeling or information about the subject)
line 5- another 2 syllable word describing the subject.
ex- Christmas
Best time of the year
With family and friends
Surrounded with family and good cheer
Lovely
Tuesday, December 20, 2011
Cinquain Poem
-can be about anything
Line 1: one noun of two syllables
Line 2: four-five syllables (words that describe the subject)
Line 3: six syllables (tells an action of the subject)
Line 4: eight syllables (expresses a feeling or information about the subject)
Line 5: another two syllable word describing the subject
Line 1: one noun of two syllables
Line 2: four-five syllables (words that describe the subject)
Line 3: six syllables (tells an action of the subject)
Line 4: eight syllables (expresses a feeling or information about the subject)
Line 5: another two syllable word describing the subject
Four Square Bombardment

Four Square Bombardment is a game when there are 4 teams that try to knock down the other teams pins down with balls.
But there are some rules: you cant throw at the square right beside you, you have to throw the balls at the square in front of you or diagonally across fromb you. Once the team right beside you has only 1 pin left you can throw at them and them back at you.
Cinquain poem
Can be about anything.
Line 1 noun of two syllables
line 2 4 to 5 syllable ( words that describe the subject)
Line 3 6 syllables ( tells an action of the subject)
Line 4 8 syllables ( expresses a feeling or information about the subject)
Line 5 another 2 syllables word describe the subject)
Hockey
It is fun to play.
I play right wing on ice.
My skate are fast.
Scoring
Line 1 noun of two syllables
line 2 4 to 5 syllable ( words that describe the subject)
Line 3 6 syllables ( tells an action of the subject)
Line 4 8 syllables ( expresses a feeling or information about the subject)
Line 5 another 2 syllables word describe the subject)
Hockey
It is fun to play.
I play right wing on ice.
My skate are fast.
Scoring
sharks and minnows

in gym the other day we played sharks and minnows it is played like this there is four people with ball s and pinnies they are the sharks and they throw the balls at you but you can't throw them at them if you are hit you go to one of the nets in the corners there are four nets one in each corner and if one of the other people come and tag you you are free and you and the person that tagged you can walk to center with your hand up so no one can hit you but as soon as you touch center you can be hit again the people that are the sharks try to get everybody out before the time runs out.
Readers theater
Multiplying integers

Yesterday in math we learned how to multiply integers now we have learned how to add integers, subtract integers, and multiply integers they are all easy once you do a couple of an examples. Here is an example of an multiplying integer (+5)x(+5)=(+25).
How to do a Double Salchow

To do a double salchow you need to do these things.
1) Go forwards on left foot and do a three turn.
2) Bring the free leg through.
3) Jump like an axel.
4) Hit your backspin position.
5) Check landing.
Those are the steps that you need to do to do a proper double salchow.
Multipling Intergers
Multiplying integers is easy. As long as you remember these 4 rules:
1. when multiplying a positive x positive always will equal a positive.
2. when multiplying a negative x a negative always equals a positive.
3.when multiplying a negative x a positive equals a negative.
4. when multiplying a positive x a negative equal a negative.
1. when multiplying a positive x positive always will equal a positive.
2. when multiplying a negative x a negative always equals a positive.
3.when multiplying a negative x a positive equals a negative.
4. when multiplying a positive x a negative equal a negative.
Monday, December 19, 2011
Multiplying Integers
A positive times a positive= a positive
A negative times a negative= a positive
A positive time a negative= a negative
A negative times a positive= a negative
(+2 ) times (-6)=(-12)
(+3) times (+4)=(+12)
A negative times a negative= a positive
A positive time a negative= a negative
A negative times a positive= a negative
(+2 ) times (-6)=(-12)
(+3) times (+4)=(+12)
Multiplying Integers

To multiply integers, you have to use four rules.
1. positive + positive = positive
eg) (+2) x (+3) = (+6)
2. negative + negative = positive
eg) (-4) x (-3) = (+12)
3. positive + negative = negative
eg) (+5) x (-3) = (-15)
4. negative + positive = negative
eg) (-6) x (+4) = (-24)
Friday, December 16, 2011
in math we leaned about subtracting integers
Eg: (-3) - (+7)
(-3) + (-7)
(-10)
Eg: (-3) - (+7)
(-3) + (-7)
(-10)
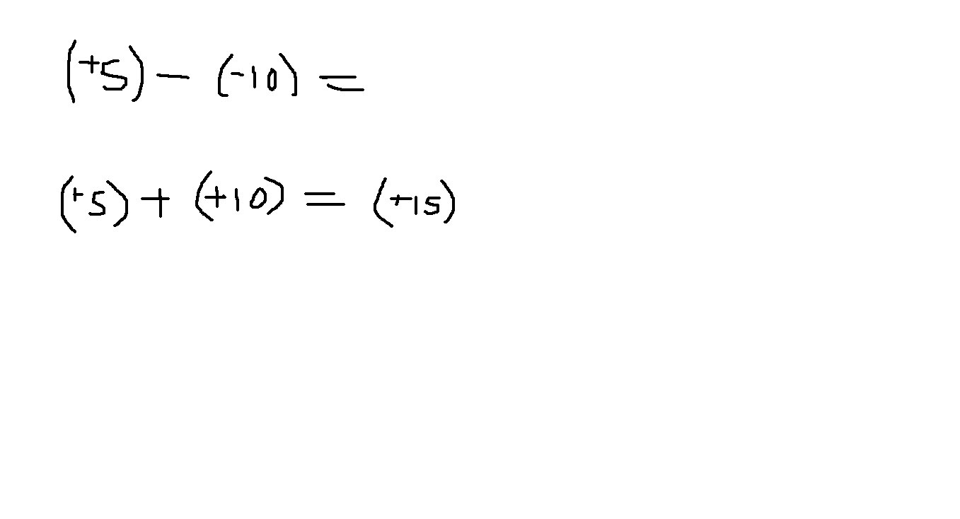
Subtract Integers
How to do an Axel

To do an axel on ice you step on to your left foot and when you jump you transfer your weight to your right side to be in the backspin position that you rotate in. An axel is the most important jump in figure skating because in every double and up jump thats the position you hit.
subtracting integers
To subtract an integer add it's opposite. First rewrite each subtraction sentence as an addition then you solve it.
Adding Intergers
Adding integers is easy. First when you look at an integer question it should be written like this
(+5) + (+6)= (+10)
(+5) + (+6)= (+10)
Adding Intergers
Adding Integers is easy. If you have numbers that are both positive numbers or negative numbers all that you have to do is add them. Example:(+3)+(+4)=(+7) another example: (-6)+(-4)=(-2).
Thursday, December 15, 2011
Capital Letters

Capital letters are the first word of a sentence, the first word of a direct quotation, the first,last and all important words of a title or somg. You also capitalize proper nouns, proper adjectives,abbreviations of titles, abbreviations of days, and months, parts of addresses, postal codes, and abbreviations of provines.
Spelling
In spelling I learn't that splendor means great brightness or brilliant of light. Splendor of the sun.
Capital Letters
This week in grammar we learned about capital letters. Capital letters always go in front of periods and always start sentences.
TANKA POEM
According to Asian tradition if someone writes you Haiku poem you are to write a TANKA poem in return. It is a way of saying thank you. A TANKA poem has to be about NATURE or about the SEASONS. this poem has 5 lines in it.
Ex
The pine trees are tall
covered with snowflakes and ice
swaying in the wind
soon it will all sadly melt
but it was a sight to see.
Ex
The pine trees are tall
covered with snowflakes and ice
swaying in the wind
soon it will all sadly melt
but it was a sight to see.
Adding Integers

(+2) - (-4) = (-2)
This question equals negative two. Pretend you have 6 balls of paper, 2 red (positive) and 4 green (negative). whenever you have a red and a green together, they cancel each other out. in the end, you would have two negatives, or negative two.
Wednesday, December 14, 2011
Adding Integers

Today in math class we leaned how to add integers this is how you write a adding integer (+4)+(+3)= (+7). adding integers are really easy after you do a couple of an examples.
adding integers
in math today we were learning about adding integers when you add an integer and the numbers are both above zero you add up but if the numbers are both below zero you add down for
Ex. (+5) + (+3) = (+8)
(-5) = (-2) = (-7)
Ex. (+5) + (+3) = (+8)
(-5) = (-2) = (-7)
Decimals to fractions

In math class we learned how to change decimals to fractions. Terminating decimal is when the number does not repeat this is a example 0
.25. A repeating decimal is when the number keeps repeating like this o.333...
Thursday, December 8, 2011
Science (WHMIS and Hazardous Symbols)
Adjectives
Wednesday, December 7, 2011
Adverbs
Adverbs usually end in ly some of them are
usually
recently
friendly
fully
carefully
wonderfully
extremly
usually
recently
friendly
fully
carefully
wonderfully
extremly
Adjectives
The other day in grammar class we learned about adjectives. Adjectives are words that describe nouns.
spongey polo
in participation we were playing spongey polo it is a game where you have to use sticks with foam on the end and you have to use a ball and a hockey net there is a goalie you have two teams and the team with the highest score wins.
Sponge polo
Sponge Polo
WHMIS

What is WHMIS? WHMIS is workplace hazardous material information system. These are some WHMIS symbols.
Terminating and Repeating Decimals
The difference between terminating and repeating fractions is that a terminating fraction is just like this:0.45 and a repeating decimal is like this: 0.33333333333333...... It just goes on for ever so you could right the decimal that is repeating itself which in this case it is the 3 and draw a line over top of it. And if you want to change a terminating fraction to a fraction it 's simple all that you do is write the fraction with the 3 over top of a 9. You do this for all of the terminating fractions the 9 will always be the denominator will always be 9. But this frac
tion can be reduced to 1/3.
tion can be reduced to 1/3.
Tuesday, December 6, 2011
grammar
Monday, December 5, 2011
Deciamls to fractions

Today in math class we learned how to change decimals to fractions. A terminating decimal is when the number does not repeat here is a example 0.25. A repeating decimal is when the number keeps repeating like this o.333...

In math we learned how to change decimals to fractions. There is a terminating and repeating decimals. The terminating is when a decimal doesn't repeat like this 0.45. A repeating decimal is when it does repeat like 0.4444. To change a terminating decimal to a fraction you have to do this. 0.25 Here's your terminating decimal. You read the decimal which would be twenty five hundredths. That would look like this 25/100. Now you reduce it. I will divide it by 25. That would make it 1/4. Now you can't reduce it anymore.
Friday, December 2, 2011
Chapter 4 mixtures and pure substances

Today we are having a test in science. This unit has been about mixtures and pure substances. Mixtures occur when particles are brought close together, they do not chemically bond together, the different particles can be separated there are two kinds of mixtures.
A pure substance is a thing that has only one type of particle . Pure substances can be divided into two parts.
Science
We have science test on Mixtures and Pure Substances.
Matter can be divided into 2 parts.
1. Pure Substances
2. Mixtures
Pure Substances is a thing that have one type of particle.
Handball
NGO
Raising The Roof

Raising the Roof is an NGO in Canada that helps the homeless. They're trying to make a long term solution for homelessness in Canada. Did you know that one third of Canada's homeless people are in between the ages of 16-24?Raising The Roof says that homelessness can be beat if more volunteers help the homeless become financially stable.
Properties
Properties are characteristics of matter.
Like mass, weight, texture,odor,hardness
Like mass, weight, texture,odor,hardness
Social Studies
Thursday, December 1, 2011
Hetrogenous
In science we learned what hetrogenous means. It means that you can see the particles in the mixtures. A example is chocolate chip cookies.
Adding and Subtracting Fractions
This week in math we learned about adding and subtracting fractions.An example of one of these is 1/4 + 3/4=4/4.
Solutions
Solutions look like pure substances but are not. They are homogeneous you can not see the bits and pieces that make up the mixture.
Wednesday, November 30, 2011
Four Square Bombardint
In gym today we are play four square bombardint it ia when you split the gym into four diffrent parts and every part is a diffrent color you have three pins and they are in holohoops and you can't go in side the holohoops you can'y go into the other teams square eather. you can't throw the ball at the square beside you unless they have 1 pin standing at the end of the game the team that has all there pins down doesn't get a point but the other teams get one point the team that doesn't loose a agme and all there points win .
Adding Fractions
Friday, November 25, 2011
Health
Today in health class we were talking about comparing attitudes and behaviours that contribute to a sense of belonging.
Attitudes or behaviors that encourage relationships.
1)Including people
2)Friendly
3)Positive behavior
Attitudes or behaviours that discourage relationships.
1) physical abuse
2) emotional abuse
3) verbal abuse
Attitudes or behaviors that encourage relationships.
1)Including people
2)Friendly
3)Positive behavior
Attitudes or behaviours that discourage relationships.
1) physical abuse
2) emotional abuse
3) verbal abuse
Handball
Handball is a team sport which you can only take 3 steps and then you have to pass the ball and the goalie has a big crease and you have to through the ball out side of the crease.
Mrs. Esposito's pizza
In short stories we read a book called Mrs. Esposito's Pizza. It was about a man named victor who was very rich. Victor went back to visit the town weer he grew up . When victor got there he went to his favorite pizza shop Mrs. Esposito's. Victor ordered his pizza and when he got out a criminal came out and held a gun to his ribs. Victor said he could have any thing he wanted so the man took his pizza. Victor was so happy he was alive.
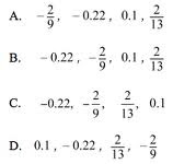
Math
In math today we were comparing and ordering fractions. To compare fractions when the denominators are different, write equivalent fractions with common denominator. Then compare the numerators.
Example Solution
2/3 and 3/5 2/3 = 2x5 =10/15 3/5 = 3x3=9/15
3x5=10/15 5x3=9/15
Example Solution
2/3 and 3/5 2/3 = 2x5 =10/15 3/5 = 3x3=9/15
3x5=10/15 5x3=9/15
Homogeneous

Homogeneous is where every particle looks the same through out.
Example: Kool-aid. The particles that make up the mixture blend together in a pattern, and are mixed evenly throughout.
Subscribe to:
Comments (Atom)




























